Journal of Iranian Medical Council

Journal of Iranian Medical Council

Economic Burden of COVID-19 in West Azerbaijan, Iran: A Societal Perspective

Document Type : Original article

Authors
Department of Health Economics and Management, School of Public Health, Urmia University of Medical Sciences, Urmia, Iran
Abstract
Background: The COVID-19 pandemic has resulted in massive loss of life and an unprecedented economic crisis, with far-reaching social impacts. This study aimed to estimate the economic burden of Coronavirus from a societal perspective in Iran.
Methods: This cross-sectional study was conducted between March 20, 2020 to March 19, 2021. To calculate the direct cost associated with COVID-19, a bottom-up approach was used with a record of 264 on the prevalence-based method and using the human capital approach. All the costs hospitalized patients. Indirect costs related to COVID-19 patients were estimated based were reported as US Dollars, using the exchange rate ($US 1=172,430 Rials) in 2020 and a 3% discount rate.
Results: From March 20, 2020 to March 19, 2021, this study included 467,883 patients with COVID-19 and 5,806 deaths in West Azerbaijan. Due to the economic burden, COVID-19 was approximately estimated at $647.37 million ($1,384 per patient), of which $425.32 million was caused by lost productivity and $222.05 million by direct costs. The results show that the mean cost of direct medical services was $1415 in the ICU ward and $426 in the general ward.
Conclusion: The findings of this study underscore the substantial economic impact of the COVID-19 pandemic, particularly in developing countries. Notably, the economic burden primarily arises from indirect costs, such as lost productivity due to premature mortality and morbidity. This investigation revealed that medicine and consumables account for 50% of the direct medical costs associated with COVID-19.
Keywords

Subjects


Abstract 
Background: The COVID-19 pandemic has resulted in massive loss of life and an unprecedented economic crisis, with far-reaching social impacts. This study aimed to estimate the economic burden of Coronavirus from a societal perspective in Iran.
Methods: This cross-sectional study was conducted between March 20, 2020 to March 19, 2021. To calculate the direct cost associated with COVID-19, a bottom-up approach was used with a record of 264 on the prevalence-based method and using the human capital approach. All the costs hospitalized patients. Indirect costs related to COVID-19 patients were estimated based were reported as US Dollars, using the exchange rate ($US 1=172,430 Rials) in 2020 and a 3% discount rate.
Results: From March 20, 2020 to March 19, 2021, this study included 467,883 patients with COVID-19 and 5,806 deaths in West Azerbaijan. Due to the economic burden, COVID-19 was approximately estimated at $647.37 million ($1,384 per patient), of which $425.32 million was caused by lost productivity and $222.05 million by direct costs. The results show that the mean cost of direct medical services was $1415 in the ICU ward and $426 in the general ward.
Conclusion: The findings of this study underscore the substantial economic impact of the COVID-19 pandemic, particularly in developing countries. Notably, the economic burden primarily arises from indirect costs, such as lost productivity due to premature mortality and morbidity. This investigation revealed that medicine and consumables account for 50% of the direct medical costs associated with COVID-19.
Keywords: COVID-19, Economic Recession, Financial Stress, Iran

 

Introduction
COVID-19, the disease caused by the SARS-COV2 virus, was first reported in Wuhan, Hubei, China, and was declared a pandemic by the World Health Organization (WHO) on March 11, 2020 (1). According to the reports by WHO, the number of people infected with this virus exceeded 567 million, on July 17, 2022, and over 6.37 million have died worldwide. These figures for Iran were 27.7 million cases and 141 thousand deaths, respectively (2). Furthermore, in west Azerbaijan province, there were more than 1.3 million cases and 5.67 thousand deaths in 2021 (3).
The COVID-19 pandemic has caused considerable costs for patients and families, health systems, and communities. The majority of patients need to be hospitalized and should receive inpatient care. Also, patients with severe COVID-19 usually need expensive cures such as mechanical ventilation and extracorporeal membrane oxygenation (4,5). For example, studies in the United States of America (USA) have shown that approximately 22% of the COVID-19 patients needed to be hospitalized at the Intensive cCare Unit (ICU), and 17% needing to invasive mechanical ventilation (IMV). Also, they estimated an average hospitalization cost of $3,045, with a median hospital cost of $12,046 (6,7). In Iran, a study has demonstrated that the direct medical cost was $2,979 and $13,267 for critical COVID-19 patients and non-severe patients, respectively (8).
Besides, the indirect costs of COVID-19 could be more considerable. To control the widespread transmission of COVID‐19, a set of urgent measures have been applied by the governments, such as remote work of employees, quarantine of individuals suspected of having COVID-19, and isolation of COVID-19 patients. Although these restriction policies have intensely reduced the transmission of COVID‐19, they have imposed considerable lost productivity on societies (9,10). The statistics by the United Nations Conference on Trade and Development (UNCTAD) have predicted that the COVID-19 pandemic would construct almost $2 trillion in 2020 in the global economy (11). Also, a study in the USA estimated the total economic burden due to COVID-19 between $17 and $94 trillion (12). Rodela et al estimated the costs of quarantine due to COVID-19 to be more than 9% of the global Gross Domestic Product (GDP) (13).
The assessment of the economic burden of the COVID-19 pandemic provides a valuable background for studying and understanding the consequences of the disease. This information is essential for policymakers, healthcare providers, insurance payers, and patients to make informed decisions regarding resource allocation and controlling the costs of COVID-19. It is worth noting that the economic impact of COVID-19 is a complex and dynamic issue that varies across regions and countries. Although there may be existing studies on the economic burden of COVID-19 in specific regions, such as the study conducted by Ghaffari et al in Iran (8), it is still necessary to investigate this issue in other regions to gain a comprehensive understanding of the pandemic’s economic impact. Additionally, a wide range of published studies on the topic of the COVID-19 economic burden relied on modeling techniques, particularly during the early stages of the pandemic (7,12,14,15). It is necessary to conduct studies based on the data from real populations to analyze the economic consequences of the COVID-19 pandemic more effectively. To address this knowledge gap, this study contributes to the existing literature by providing valuable insights into the economic impact of COVID-19 in a specific region and adds to the broader understanding of the pandemic’s impact on the global economy.

Materials and Methods 
Study design
This research constitutes a cross-sectional study designed in accordance with the Cost-Of-Illness (COI) study, to estimate all the costs associated with COVID-19 patients in northwest Iran (West Azerbaijan). In the COI study, two distinct approaches were employed to estimate disease costs: the prevalence approach and the incidence approach. The prevalence method, commonly used for assessing total disease costs within a given year, calculates the expenses related to suffering from a specific disease at a particular point in time, without considering the duration of the illness. Conversely, the incidence approach computes the costs from disease onset until either cure or death (16). This study adopted the prevalence-based method and utilized a bottom-up approach. All the patients referred to hospitals in Western Azerbaijan between March 20, 2020, and March 19, 2021 were included.
To estimate the economic burden accurately, we relied on a thorough understanding of the disease’s natural history. Information was synthesized from the published literature, clinical guidelines, and expert interviews (7,9,17,18). Additionally, the epidemiological and pathological data specific to COVID-19 to extract unit costs were analyzed and various cost sources were identified.

Data and study population
West Azerbaijan has two independent medical universities, including Urmia University of Medical Sciences (UUMS) and Khoy University of Medical Sciences. Within the province, there are 40 hospitals serving a population of approximately 3.5 million.
To estimate the economic burden of Covid-19, patients who met the following criteria in our study were included; 1. Patients diagnosed with COVID-19 based on a positive nasopharyngeal swab polymerase chain reaction (PCR) test. 2. Patients who were at least 18 years old at the time of diagnosis. 3. Patients who sought medical care at hospitals in Western Azerbaijan between March 20, 2020, and March 19, 2021. Patients were excluded from the study if they were under 18 years of age or if their death was not directly attributed to COVID-19. 
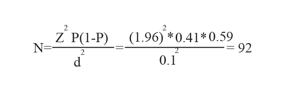
In this study, a range of data were collected from different sources. The first group was used to calculate the unit cost. These data were associated with diagnosis services, medicines and consumables, hospitalization, and consulting services. To achieve this objective, the medical records of 264 hospitalized patients were utilized. These records were selected from Taleghani and Imam Khomeini Hospitals in Urmia, which serve as the primary treatment centers for COVID-19 patients in West Azerbaijan province due to their advanced facilities. The formula to determine the 264 medical records is available in the additional file 1: 

 

In the given formula, (Z) represents a parameter from the standard normal distribution corresponding to the first type error level of 5%, which is equal to 1.96. The variable (P) denotes the proportion of COVID-19 patients who visited the hospital (8). Initially, the minimum expected sample size was 92 cases; however, the researchers extended their sampling to include 264 cases.
The second set of data comprised epidemiological data, including mortality rate, incidence and prevalence rate, and death number. These data were utilized to estimate the costs at the regional or national level and were obtained from the UUMS data center. The final set of data encompassed economic information, such as annual income, employment rate, housekeeping rate, and GDP per capita, obtained from the World Bank Data and the Statistical Center of Iran (19,20).

Cost estimation
In COI studies, costs are typically divided into two categories: direct and indirect costs. Depending on the available data and the specific diseases or risk factors being studied, two primary methods are commonly used to estimate these costs: the ‘top-down’ and ‘bottom-up’ approaches. The top-down approach is a population-based method and involves the allocating portions of overall resource expenditures to specific diseases. It assigns a percentage of total spending to each disease based on aggregate data. In contrast, the bottom-up approach is a person-based method that multiplies the average cost of illness per patient by the prevalence of the illness. This approach provides a more granular understanding of the costs at the individual level (9,21). Due to a lack of comprehensive data on COVID-19 and the absence of published total expenditure, the bottom-up approach was utilized to estimate the costs associated with this disease. 

Direct cost 
We calculated the direct medical costs and direct non-medical costs of COVID-19. The COVID-19 patients were divided into two subgroups, the patients needing inpatient services and the patients needing outpatient services, based on the studies’ results and the medical records (8,9,17). Given that the COVID-19 costs were different for patients in the inpatient ward, we divided these patients into subgroups, including the ICU and general wards.
To estimate direct medical costs, the bottom-up approach was used. In this method, unit costs are multiplied by the number of the patients, so that all the patients are included in the study in a given year. As a result, there is no sampling. For estimating the unit cost, 264 medical records of COVID-19 patients were assessed. The direct medical costs in this analysis included the expenses related to healthcare services such as diagnosis, medication, consumables, hospitalization, and consulting.
Diagnosis costs encompassed services such as laboratory tests, Computed Tomography (CT) scans, Electrocardiography (ECG), radiology, and sonography. To calculate the diagnosis cost, patients and their accompanying individuals (limited to PCR tests only) were considered. For each patient, three companions (based on the average family size) were accounted for. The cost per PCR test was approximately $17.4. Additionally, it was assumed that the diagnosis services for patients in the outpatient ward were equivalent to 50% of the diagnosis cost incurred in the general ward. This assumption aligns with findings from other relevant studies (4,9).
Furthermore, the cost of medicines and consumables was calculated for drugs, medical consumables (instruments used in the medical field for cure and testing), and pharmaceutical services (the activities associated with the injection and distribution of drug). Inpatient cost was computed for intensive care, general bed, nursing services, chronic dialysis, surgery, physician visit, inpatient services, and medical services. Consulting costs were calculated for consulting services and general visits provided by the general practitioners.
Due to the lack of data, the transportation cost was only estimated as the direct non-medical cost. the patients were adjusted based on the residence and the hospitalization wards to calculate the transportation cost. Therefore, the patients were categorized into two groups based on their residence: those living in Urmia (the capital of West Azerbaijan) and those living in the suburbs of Urmia. The cost of a trip was estimated at $5.8 and $8.7 in Urmia and the suburbs of Urmia, respectively. The number of trips was calculated using the medical records, assuming it was equal to the average number of patient visits according to the inpatient ward.

Indirect cost
The human capital approach was utilized to estimate morbidity and mortality costs as productivity losses. In the human capital method, the social perspective is taken into account. The monetary value of productivity losses could be caused by premature death or morbidity due to illness to be considered an individual’s contribution to national productivity.
To estimate the losses of productivity due to morbidity, the patients were categorized according to age, and then the following formula was used;
MC= Pi × Fi × H × W
Where MC is the costs owing to the morbidity losses; Pi is the number of populations for a particular age group; Fi is the employment rate according to the age group; H is the number of missed work days due to COVID-19, and W is the average daily wage. The number of workdays missed due to COVID-19 was initially 9 days, based on the hospitalization duration. However, in accordance with guidelines, a minimum of 14 days of absence from work was recommended for patients who had tested positive for COVID-19 in Iran.
To estimate productivity losses due to premature death from COVID-19, the years of life lost (YLL) and expected earning income were calculated. The number of deaths due to COVID-19 was grouped by sex and age group. Then, YLLs were calculated using Iran’s standard life table (22). The mortality cost was calculated with the following equation:
Mortality cost=  

Where i and j denote the age and sex respectively; Y is the annual income mean of an employed person of gender j and age i; t is the age at death, k shows the difference between the standard life expectancy and actual age at death; r is the discount rate (23). 
The annual income and daily wages were obtained using GDP per employed person without oil share that was $15,390 in 2020 for Iranian population (20). All the costs were presented in US Dollars using the exchange rate ($US 1=172,430 Rials) in 2020 and a discount rate of 3%. Microsoft Office Excel 2016 (Microsoft, Redmond, WA) was used to develop the estimation models.

 

Table 1. Characteristics of the 264 Selected COVID-19 Patients in West Azerbaijan, 2020

Variables

Number (N)

Percent (%)

Gender

Male

Female

 

125

139

 

47.35

52.65

Age group

<=20

21-30

31-40

41-50

51-60

>60

Mean (years)

 

3

14

62

54

55

77

50

 

1.13

5.3

23.48

20.45

20.83

29.16

-

Marital Status

Married

Single

 

249

15

 

94.32

5.68

Insurance type

Health insurance

Social insurance

Army insurance

Rural insurance

Others insurance

 

120

95

25

10

15

 

45.45

35.99

9

3.79

5.68

Residence

Urmia

Other cities

 

222

42

 

84.09

15.9

Occupation

Employed

Housekeeping

Others*

 

69

99

96

 

26.14

37.5

36.36

Inpatient ward

General

ICU

 

196

68

 

74.24

25.76

Underlying disease

Yes

No

 

112

152

 

42.42

57.58

Hospitalization average (day)

8.9

-

Discharge status

Survived

Died

 

235

29

 

89.01

10.98

Total

264

100

* The unemployed or those who did not state their occupation


Results
Table 1 shows the demographic characteristics of the studied patients. The majority of the patients were female (53%). The average years for the patients was 50 years old, and most were above 40 years old (70.44%). Of the 264 patients, 249 (94.32%) were married, and 222 (84%) were residents of Urmia. 68 (25.76%) were hospitalized in the ICU ward, and 112 (42.42%) had an underlying disease.
The direct medical cost incurred due to COVID-19 is presented in table 2. The total direct medical cost of COVID-19 was estimated to be approximately $193.62 million, of which $34.89 million was for the diagnosis services, $95.35 million for the medicine and consumables, $61.77 million for the hospital inpatient services, and $1.61 million was for the consulting care. Furthermore, the mean direct medical cost of COVID-19 was $1,415 and $426 for patients in the ICU and general ward, respectively. Also, the mean cost for the diagnosis services, medicine and consumables, hospital inpatient services, and consulting care was $59.7, $454.1, $875.7, and $24.6 for the patients needing ICU services, respectively.
The total non-medical direct costs were estimated to be $28.43 million, of which $14.65 million were in the general ward, $9.77 million were for intensive care, and $4.01 million for outpatient. Of the total transportation costs due to COVID-19, $11.16 million occurred for patients living in Urmia, and the other costs were imposed on the patients living in the suburbs of Urmia (Table 3).
Table 4 demonstrates the number of missed work days and the morbidity costs because of COVID-19. The number of missed work days due to COVID-19 was calculated at 1971522 days. The total morbidity cost was estimated at $85.75 million. The number of missed work days in the age group of 30 to 34 years was responsible for 17% of the total morbidity cost.
The lost productivity cost due to premature death because of COVID-19 is presented in table 5 by sex and age groups. The number of deaths because of COVID-19 was 3466 and 2340 in men and women, respectively. The mortality cost was estimated at $339.57 million, of which $215.93 million were for men and $123.64 million for women. The death number of COVID-19 for the ages of 35 to 39 accounted for about 14% of the total mortality cost ($48.58 million).

Table 2. Direct Medical Costs ($US) Related to COVID-19, West Azerbaijan 2020

Cost Type

Mean cost per patient ($)

(Mean±SD)

Total cost ($ million)

ICU

General ward

outpatient

ICU

General ward

outpatient

All patient

Diagnosis cost

Laboratory

CT scan

ECG

Radiology

Sonography

PCRforaccompanied*

59.7±51.8

48.7±48.91

6.1±8.6

0.8±1.5

2.4±6.8

1.7±5.5

-

27.0±13.3

23.8±12.3

1.9±3.7

0.7±0.5

0.5±0.8

0.1±1.1

-

13.5

11.9

0.9

0.3

0.2

0.1

-

2.86

2.34

0.29

0.04

0.12

0.08

-

3.88

 3.42

 0.27

 0.10

 0.07

 0.02

-

3.72

3.29

0.26

0.10

0.06

0.02

-

34.89

9.05

0.82

0.23

0.25

0.12

24.42

Medicines & consumables

Drug

Consumables

Pharmaceutical services

454.1±231.4

403.1±216.3

50.7±45.2

0.8±0.4

261±181.5

251.7±178.6

8.5±6.6

0.5±1.7

130.5

125.8

4.3

0.2

21.78

19.33

2.43

0.04

37.55

36.21

1.23

0.07

36.02

34.74

1.18

0.06

95.35

90.28

4.84

0.17

Inpatient Cost

ICU Bed

General bed

Nursing care

Chronic dialysis

Surgery

Emergency visit

Inpatient visit

Outpatient visit

Inpatient services

Medical services

875.7±637.9

684.3±577.0

58.0±58.0

31.7±23.8

7.2±32.3

0.2±0.72

0.7±2.2

84.1±62.6

2.3±3.6

6.0±7.9

0.4±0.7

137.4±69

-

89.9±47.4

5.7±3.7

-

-

0.7±2.3

41.2±24.3

0.3±0.4

0.2±1.6

0.1±0.3

-

-

-

-

-

-

-

-

-

-

-

42.00

32.82

2.78

1.52

0.35

0.01

0.03

4.03

0.11

0.29

0.02

19.77

0.00

12.93

0.82

0.00

0.00

0.10

5.92

0.00

0.03

0.01

-

-

-

-

-

-

-

-

-

-

-

61.77

32.82

15.71

2.34

0.35

0.01

0.13

9.95

0.11

0.32

0.03

Consulting Cost

Consulting

General Visit

24.6±86.4

9.2±10.7

15.4±86.4

1.5±3.9

0.9±3.7

0.7±0.9

0.8

0.4

0.3

1.18

0.44

0.74

0.22

0.13

0.09

0.21

0.12

0.09

1.61

0.69

0.93

Total direct medical costs

1415.1±806.1

426.8±232.6

213.4

67.82

61.42

39.95

193.62

* The diagnosis cost for the accompanied was calculated based on the assumption that each patient with COVID-19 has about three tests. The price for every PCR test was about $17.4.

 

Table 3. Transportation Costs ($US) Related to COVID-19, West Azerbaijan 2020

 

Number of tripes

Total cost ($ million)*

Residence

ICU

General ward

Outpatient

ICU

General ward

Outpatient

All patient

Urmia

330414

495614

135847

3.83

5.75

1.58

11.16

Other cities

340998

511504

140204

5.93

8.90

2.44

17.27

Total

671412

1007118

276051

9.77

14.65

4.01

28.43

* Because one companion is considered for each patient, the total costs have been multiplied by two.

 

Table 4. Indirect Costs of Morbidity due to COVID-19, West Azerbaijan 2020

Age group

(year)

Number of patients

Number of working patients

Number of missed work days

Total cost

($ million)*

15 – 19

5989

679

9506

 0.41

20 – 24

7954

1876

26264

 1.14

25 – 29

19932

6641

92974

 4.04

30 – 34

61714

23265

325710

 14.17

35 – 39

53760

20954

293356

 12.76

40 – 44

57737

22693

317702

 13.82

45 – 49

45806

18620

260680

 11.34

50 – 54

55725

19048

266672

 11.60

55 – 59

45806

13802

193228

 8.40

60 – 64

15908

3261

45654

 1.99

65 – 69

39817

5891

82474

 3.59

70 – 74

17920

1503

21042

 0.92

75 – 79

21897

1451

20314

 0.88

80 – 84

9966

613

8582

 0.37

>85

7954

526

7364

 0.32

All ages

467883

133226

1971522

 85.75

* The daily wage was calculated at $43.5

 

Table 5. Mortality Numbers and Productivity Costs for COVID-19, West Azerbaijan 2020

Age group (year)

Death number

Mortality cost ($ million)

Male

Female

Male

Female

Total

15 – 19

0

0

0.00

0.00

0.00

20 – 24

180

0

39.34

0.00

39.34

25 – 29

45

0

9.69

0.00

9.69

30 – 34

135

90

27.07

11.55

38.62

35 – 39

180

135

32.27

16.32

48.58

40 – 44

45

45

6.95

5.10

12.05

45 – 49

225

45

28.40

4.72

33.12

50 – 54

180

135

17.33

12.85

30.18

55 – 59

270

225

18.59

19.13

37.71

60 – 64

450

270

20.26

20.25

40.51

65 – 69

495

450

13.64

25.51

39.15

70 – 74

136

225

1.96

6.52

8.48

75 – 79

90

180

0.45

1.70

2.15

80 – 84

315

270

0.00

0.00

0.00

>85

720

270

0.00

0.00

0.00

Total

3466

2340

215.93

123.64

339.57

 

Discussion
This cost-of-illness study aimed to estimate all the costs due to COVID-19 in northwest Iran (West Azerbaijan), using the prevalence and bottom-up approach from the social perspective. This study identified 467,883 patients with COVID-19 and 5,806 deaths in West Azerbaijan in 2020. Also, the economic burden because of COVID-19 was approximately estimated at $647.37 million ($1,384 per patient), of which $425.32 million was caused by lost productivity and $222.05 million by the direct costs.
The current study shows that the COVID-19 pandemic has inflicted substantial costs on Iran’s economy, resulting in a noteworthy decline in the country’s GDP in 2020, the lowest in the preceding decade (24). The economic burden of the COVID-19 outbreak in the West Azerbaijan province alone amounted to 0.3% of Iran’s GDP and 20% of the province’s GDP in 2020. These costs accounted for 5.1% of the overall health expenditure in Iran. Additionally, the expenses incurred per patient due to COVID-19 are approximately 6 and 10.5 times higher than the average healthcare costs borne by urban and rural households in West Azerbaijan Province, respectively. Notably, the West Azerbaijan province, with a population of 3.4 million, constitutes merely 1.4% of Iran’s overall population. The COVID-19 pandemic has imposed a considerable financial burden on the economies of most countries. In this regard, Jin et al estimated the economic burden of COVID-19 between January to March 2020 in China. They calculated an economic burden of US$ 383.02 billion according to China’s GDP in 2020, which would be 2.61% (9). Viscusi reported that the loss productivity of COVID-19 was about $5.5 to $5.9 trillion for the USA and $10.1 trillion at the global level in 2020 (25).
According to the results, the productivity losses were responsible for 65% of the COVID-19 economic burden, including the mortality cost of $339.57 million (52%) and morbidity cost of $85.75 million (13%). The direct costs accounted for 35% of all costs, of which $193.62 million (30%) was for direct medical costs and $28.43 (5%) million for direct non-medical costs. Moreover, the results revealed gender disparities in COVID-19 mortality costs: men have incurred 75% more mortality costs than women. There are some reasons for these disparities. The number of deaths due to COVID-19 by gender could be explained partly by differences, the COVID-19 death number was around 48% higher in men than in women. Other reasons for this gap could be gender ratio, employment rate, and annual income. Some studies suggest that there are gender disparities in health outcomes and healthcare costs for other studies (26-28).
Analysis of the direct medical costs shows that the mean cost of COVID-19 patients in the ICU ward was approximately 3.3 times the cost of patients in the general ward (the mean cost was $1415 in the ICU ward and $426 in the general ward). Moreover, the mean cost for all the subset services among the patients in the ICU wards was estimated considerably higher than the patients who were hospitalized in the general ward: The mean cost of consulting care was 16.4 times higher; the inpatient cost was 6.4 times higher; the diagnosis cost was 2.2 times higher, and the medicines and consumables cost was 1.7 times higher. Estimation of direct medical costs is associated with various assumptions and variables in different studies. In the USA, Tsai et al estimated a mean hospitalization cost of $21,752 and a mean cost per outpatient visit of $164 among COVID-19 patients. The results reveal that the hospitalization cost would be estimated at $49,441 for the patients needing a ventilator and a cost of $32,015 for the deceased patients (29). Another study in the USA by Bartsch et al calculated the cost of an outpatient visit to be $142 per COVID-19 patient, the hospitalization cost was $6,887 to $12,264, based on the patient’s age and disease severity (7). In this regard, Ghaffari et al estimated the economic burden of COVID-19 in Iran (Fars district). They reported a direct medical cost of $1.7 million, with an average cost of $ 3,755 per patient. Furthermore, their results show that the average medical cost for patients in the intensive care unit is approximately 4.4 times the cost for non-severe patients (8). Some reasons can be presented for the differences in the amount of costs in patients with COVID-19 in the different studies: including the use of various approaches, variations in the population selected to estimate unit costs, and differences in currency exchange rates derived from diverse sources. Notably, the principal reason for the divergence between the results and Ghaffari et al’s investigation relates to the variance in the exchange rates employed. Specifically, Ghaffari et al utilized the official government exchange rate of 15,766 Rials per Dollar, whereas the free exchange rate cited in the World Bank reports (172,430 Rials per Dollar) was utilized. If it was to report the estimated costs in Ghaffari’s et al’s study using the free exchange rate, the disparity between the cost estimates in this study and Ghaffari’s would be inconsequential (8).
There are some limitations to this study. Despite the efforts to estimate both direct medical costs and indirect costs, such as morbidity and mortality costs, it is important to acknowledge that economic burden studies, including this one, have inherent limitations. As a result, there may be some costs that were not accounted for in our analysis. For instance, the costs associated with quarantine measures were not considered. Furthermore, in terms of non-medical direct costs, only travel expenses were calculated and factors in other components, such as care provided by family members, home modifications for patients, temporary relocation to the city for diagnosis and treatment, or complementary or unofficial treatments were not regarded. Additionally, intangible costs, such as the impact of severe symptoms experienced by COVID-19 patients were not estimated. Further research is required to accurately estimate these costs. Second, some limitations of this study have arisen due to our assumptions. The premature mortality costs were not estimated for deceased persons before age 15 and after age 79; however, the cost of lost productivity in these groups could be significant. Furthermore, the economic burden study has been conducted based on the tariffs approved by the Iranian Ministry of Health (government sector). However, a large number of patients are treated in private hospitals, and the costs in private sectors could reflect the economic burden reasonably from a social perspective.

Conclusion
The findings of this study underscore the substantial economic impact of the COVID-19 pandemic, particularly in developing countries. Notably, the economic burden primarily arises from indirect costs, such as lost productivity due to premature mortality and morbidity. Our investigation revealed that medicine and consumables account for 50% of the direct medical costs associated with COVID-19.
To enhance our understanding, further research is warranted. Specifically, future studies should explore how costs are distributed across socioeconomic variables. Additionally, assessing the cost-effectiveness of interventions aimed at mitigating the consequences of COVID-19 will be crucial for informed decision-making.

Ethical approval
This study was a part of the thesis at the master of sciences level. This study was approved by the Ethics Committee of the Urmia University of Medical Sciences (IR.UMSU.REC.1400.234).

Funding
There was no funding utilized in this study. 

Acknowledgement
The authors are appreciating from Urmia University of Medical Sciences for granting access to the datasets used in this study.

Conflict of Interest
There was no conflict of interest in this manuscript.

 

  1. Ye T, Guo S, Xie Y, Chen Z, Abramson MJ, Heyworth J, et al. Health and related economic benefits associated with reduction in air pollution during COVID-19 outbreak in 367 cities in China. Ecotoxicol Environ Saf 2021 Oct 1;222:112481. https://pubhttps://pubmed.ncbi.nlm.nih.gov/34229169/med.ncbi.nlm.nih.gov/34229169/
  2. [Available from: https://www.who.int/emergencies/diseases/novel-coronavirus-2019.]
  3. Global burden of study results. https://vizhub.healthdata.org/gbd-results/. Accessed June 18, 2024.
  4. Oliveira TF, Rocha CAO, Santos AGGD, Silva LCF Junior, Aquino SHS, Cunha EJOD, et al. Extracorporeal membrane oxygenation in COVID-19 treatment: a systematic literature review. Braz J Cardiovasc Surg 2021 Jun 1;36(3):388-96. https://pubmed.ncbi.nlm.nih.gov/33355811/
  5. Petrilli CM, Jones SA, Yang J, Rajagopalan H, O’Donnell L, Chernyak Y, et al. Factors associated with hospital admission and critical illness among 5279 people with coronavirus disease 2019 in New York City: prospective cohort study. BMJ 2020 May 22;369:m1966. https://pubmed.ncbi.nlm.nih.gov/32444366/
  6. Di Fusco M, Shea KM, Lin J, Nguyen JL, Angulo FJ, Benigno M, et al. Health outcomes and economic burden of hospitalized COVID-19 patients in the United States. J Med Econ 2021 Jan-Dec;24(1):308-17. https://pubmed.ncbi.nlm.nih.gov/33555956/
  7. Bartsch SM, Ferguson MC, McKinnell JA, O‘Shea KJ, Wedlock PT, Siegmund SS, et al. The potential health care costs and resource use associated with COVID-19 in the united states. Health Aff (Millwood) 2020 Jun;39(6):927-35. https://pubmed.ncbi.nlm.nih.gov/32324428/
  8. Ghaffari Darab M, Keshavarz K, Sadeghi E, Shahmohamadi J, Kavosi Z. The economic burden of coronavirus disease 2019 (COVID-19): evidence from Iran. BMC Health Serv Res 2021 Feb 11;21(1):132. https://pubmed.ncbi.nlm.nih.gov/33573650/
  9. Jin H, Wang H, Li X, Zheng W, Ye S, Zhang S, et al. Economic burden of COVID-19, China, January-March, 2020: a cost-of-illness study. Bull World Health Organ 2021 Feb 1;99(2):112-24. https://pubmed.ncbi.nlm.nih.gov/33551505/
  10. Zhang J, Litvinova M, Wang W, Wang Y, Deng X, Chen X, et al. Evolving epidemiology and transmission dynamics of coronavirus disease 2019 outside Hubei province, China: a descriptive and modelling study. Lancet Infect Dis 2020 Jul;20(7):793-802. https://pubmed.ncbi.nlm.nih.gov/32247326/
  11. Açikgöz Ö, Günay A. The early impact of the Covid-19 pandemic on the global and Turkish economy. Turk J Med Sci 2020 Apr 21;50(SI-1):520-6. https://pubmed.ncbi.nlm.nih.gov/32283904/
  12. Chen S, Prettner K, Kuhn M, Bloom DE. The economic burden of COVID-19 in the united states: estimates and projections under an infection-based herd immunity approach. J Econ Ageing 2021 Oct;20:100328. https://pubmed.ncbi.nlm.nih.gov/34123719/
  13. Rodela TT, Tasnim S, Mazumder H, Faizah F, Sultana A, Hossain MM. Economic impacts of coronavirus disease (COVID-19) in developing countries. DOI: 10.31219/osf.io/wygpk
  14. Hanly P, Ahern M, Sharp L, Ursul D, Loughnane G. The cost of lost productivity due to premature mortality associated with COVID-19: a Pan-European study. Eur J Health Econ 2022 Mar;23(2):249-59. https://pubmed.ncbi.nlm.nih.gov/34417904/
  15. Uddin MM, Akter A, Khaleduzzaman ABM, Sultana MN, Hemme T. Application of the farm simulation model approach on economic loss estimation due to coronavirus (COVID-19) in Bangladesh dairy farms-strategies, options, and way forward. Trop Anim Health Prod 2020 Nov 23;53(1):33. https://pubmed.ncbi.nlm.nih.gov/33230604/
  16. Larg A, Moss JR. Cost-of-illness studies: a guide to critical evaluation. Pharmacoeconomics 2011 Aug;29(8):653-71. https://pubmed.ncbi.nlm.nih.gov/21604822/
  17. Li XZ, Jin F, Zhang JG, Deng YF, Shu W, Qin JM, et al. Treatment of coronavirus disease 2019 in Shandong, China: a cost and affordability analysis. Infect Dis Poverty 2020 Jun 29;9(1):78. https://pubmed.ncbi.nlm.nih.gov/32600426/
  18. Putri WCWS, Muscatello DJ, Stockwell MS, Newall AT. Economic burden of seasonal influenza in the United States. Vaccine 2018 Jun 22;36(27):3960-6. https://pubmed.ncbi.nlm.nih.gov/29801998/
  19. Iran statistical yearbook. 3rd ed. Tehran: Statistical Center of Iran; 2021. 50 p.
  20. GDP per person employed (constant 2017 PPP $). The World Bank. https://data.worldbank.org/indicator/SL.GDP.PCAP.EM.KD. Accessed May 11, 2021.
  21. Larg A, Moss JR. Cost-of-illness studies: a guide to critical evaluation. Pharmacoeconomics 2011 Aug;29(8):653-71. https://pubmed.ncbi.nlm.nih.gov/21604822/
  22. Global health observatory data repository. World Health Organization. https://apps.who.int/gho/data/?theme=main&vid=60760. Accessed May 11, 2021.
  23. Lee YR, Cho B, Jo MW, Ock M, Lee D, Lee D, et al. Measuring the economic burden of disease and injury in Korea, 2015. J Korean Med Sci 2019;34(Suppl 1).
  24. GDP (current US$). The World Bank. https://data.worldbank.org/indicator/NY.GDP.MKTP.CD?locations=IR. Accessed May 11, 2021.
  25. Viscusi WK. Economic lessons for COVID-19 pandemic policies. South Econ J 2021 Apr;87(4):1064-89. https://pubmed.ncbi.nlm.nih.gov/33821048/
  26. Bradley CJ, Yabroff KR, Dahman B, Feuer EJ, Mariotto A, Brown ML. Productivity costs of cancer mortality in the United States: 2000-2020. J Natl Cancer Inst 2008 Dec 17;100(24):1763-70. https://pubmed.ncbi.nlm.nih.gov/19066273/
  27. Nahvijou A, Daroudi R, Javan-Noughabi J, Dehdarirad H, Faramarzi A. The lost productivity cost of premature mortality owing to cancers in iran: evidence from the GLOBOCAN 2012 to 2018 estimates. Value Health Reg Issues 2022 Sep;31:1-9. https://pubmed.ncbi.nlm.nih.gov/35313156/
  28. Hanly P, Soerjomataram I, Sharp L. Measuring the societal burden of cancer: the cost of lost productivity due to premature cancer-related mortality in europe. Int J Canc 2015 Feb 15;136(4):E136-45. https://pubmed.ncbi.nlm.nih.gov/25066804/
  29. Tsai Y, Vogt TM, Zhou F. Patient characteristics and costs associated with COVID-19-related medical care among medicare fee-for-service beneficiaries. Ann Intern Med 2021 Aug;174(8):1101-9. https://pubmed.ncbi.nlm.nih.gov/34058109/

 

Volume 8, Issue 2 - Serial Number 28
Spring 2025
Pages 257-267

The formula to determine the 264 medical records is available in the additional file 1:
The formula to determine the 264 medical records is available in the additional file 1:
The mortality cost was calculated with the following equation: Mortality cost=
The mortality cost was calculated with the following equation: Mortality cost=