Journal of Iranian Medical Council

Journal of Iranian Medical Council

Social Capital in General Population of Tehran Province in Comparison with Other Provinces of Iran

Document Type : Original article

Authors
1 Psychiatry and Psychology Research Center, Roozbeh Hospital, Tehran University of Medical Sciences, Tehran, Iran
2 Psychiatric department,Roozbeh Hospital,Tehran University of Medical Sciences
3 Imam Hossein Hospital, Alborz University of Medical Sciences, Alborz, Iran
4 Islamic Azad University, Science and Research Branch, Tehran, Iran
5 Faculty of Psychology and Educational Sciences, Allameh Tabataba’i University, Tehran, Iran
6 Department of Clinical Psychology, College of Psychology and Education, Al zahra University, Tehran, Iran
7 Islamic Azad University, Garmsar Branch, Garmsar, Iran
8 Department of Mental Health, faculty of Behavioral Sciences and Mental Health, Tehran Institute of Psychiatry, Iran
9 Department of Clinical Psychology, Roozbeh Hospital, Tehran University of Medical Sciences, Tehran, Iran
Abstract
Background: Social capital is described on the basis of the quality of social relations between individuals and it includes the capacity of quantifying or solving the problems that are usually experienced. It is a means to improve the quality of life and facilitate community progress through the provision of social communication resources.
By considering the importance of monitoring the process of social capital and informing about its functions, and the changes related to its components and paying attention to the results in terms of mental health programs, we examined the status of social capital among the residents of Tehran province who were over the age of 18.
Methods: This cross-sectional analytical study is part of The Iranian Children and Adolescents’ Psychiatric Disorders Research (IRCAP) which is being carried out in various urban and rural areas of Iran. IRCAP includes different background features such as social capital, culture, ethnicity and economic status from different provinces. In our community-based study, 29776 men and women over the age of 18 years were selected by multistage cluster sampling (cluster sampling and random sampling). They were examined by Social Capital Questionnaire. One-sample t-test and multivariate analysis were used to analyze the data.
Results: In Tehran province from a total of 2065 participants, 1841 remained in the study for examination of all variables. Based on the one-sample t-test the results show that all variables for province of Tehran was higher than those for the other provinces (p<0.001). The average social capital of trust in the province of Tehran was 18.77 while it was 17.52 for other provinces (with minimum and maximum range of 5-25) (p<0.001). However the social capital status in Tehran   was above the average for all variables, it was still far from optimal level.
Conclusion: Our results show that social capital in Tehran is higher than other provinces in Iran. This includes both total social capital and its all components. However, the province of Tehran is above the average level in all components of social capital, it is still far from optimal level.
Keywords

Introduction

Iran is the 17th  largest country in the world with a population of 79,926,270 million, of which 51% are men and 49% are women. 71.2% live in urban areas and 28.8% live in rural areas. The total number of households in the country is 24.196 million. It is believed that the unemployment rate among adults is 11 percent. Different ethnicities live in Iran and the official language of the country is Persian.

Social capital represents the concept of quantitative and qualitative relationships between members of a community. By increasing the amount of variables of this concept, the cost of interpersonal communication is reduced, as well as more opportunities for group-based activities. Other benefits include creating human capital and improving the economic situation of the community1.

Social capital is described on the basis of the quality of social relations between individuals, which includes the capacity of quantifying or solving the problems that are usually experienced2. In fact, the focus is on social relations that leads to the creation of various benefits for the people3.

In other way social capital is a means to improve the quality of life and facilitate community progress through the provision of social communication resources4.

Some scholars also consider social capital as a value of social networking for the community and believe that it is of a multivariate nature5. From various sources, it is seen that there is a positive correlation between social capital and physical and mental health6. It is also referred to a way of mental status and educational outcome improvement7.

We examined the status of social capital among people over the age of 18 who were resided in different provinces of Iran considering the importance of monitoring all processes of social capital, the value of informing about its functions, changes related to its components and paying attention to its results in terms of mental health programs.  The components of this study in the field of social capital include networks, relationships, collaboration, values, mutual understanding, trust and commitment.

The Metropolitan of Tehran, as the capital of Iran has its own cultural and social status. Interpersonal relations and the existence of different ethnicities have built  up special social conditions in this city8.

This study show that the different results from previous studies on this topic require careful evaluation. We also examined the status of social capital among people with psychiatric disorders or physical illnesses.

 

Materials and Methods

This cross-sectional analytical study was part of a national project which was for all provinces of Iran including in Tehran9. Also, the National Institute for Medical Research Development (NIMAD) supported the project. The principal applicant has extensive research in the field of psychiatric disorders and has special expertise in use of the tool applied in this study.

In a community-based study, 29776 men and women over the age of 18 years were selected by multistage cluster sampling (cluster sampling and random sampling). 170 blocks were randomly collected from each province   (6 samples each) and blocks were randomly selected according to postal code.)

The criteria for entering this study are as follows: Iranian women and men over 18 years of age. People with severe physical illness were excluded.

Clinical psychologists have been trained to encourage all participants to complete the Persian version of Social Capital Questionnaire (Nahapyt and Ghoshal, 1998). They went   people’s homes and interviewed them. In indigenous areas, in order to improve the quality of information gathering, native psychologist who had the same language with participants had been sent to gather information. The time required to complete a questionnaire was about 30 to 40 minutes. Also in this interview, demographic information such as gender, age, education, occupation, and economic status were recorded.

This study is a part of IRCAP research in various urban and rural areas of Iran’s provinces that has included different background such as social capital, culture, ethnicity and economic status in of people and   each individual’s level of emotional problems. This may be required to provide differential services. All data was obtained in Persian language.

In a screening and diagnostic phase, a random sample of over 18 years old was selected and were examined by questionnaires (Social Capital Questionnaire) (Nahapyt and Ghoshal, 1998). This large amount of data enables us to makecomparison between a wide range of social capital in Tehran province and other provinces as well as between Iranian and  non-Iranian societies.

This IRCAP project is a national project that runs across all provinces of Iran so the sample size was calculated for Tehran province and all provinces. It was assumed that the prevalence of psychiatric disorders was 0.3 and the type 1 error was 0.05 and the accepted error was 0.05 and the sample size for each province was at 825 people. Assuming the effect of cluster sampling as 1.2, the final sample size of each province reached 990(1000), therefore the final sample size reached 29776. A total of 170 clusters (6 sample each) were selected from each province. In Tehran, 1841 people were included and in other provinces a total of 27935 people.  In Tehran province, in addition to the city of Tehran, other neighbor cities and rural population were randomly selected (using cluster sampling). In next step, different blocks were randomly selected from Tehran province based on the postal code, The social capital questionnaire “Nahapit and Ghoshal” (1998) contains 28 questions that are related to social, cognitive and structural capital. The questionnaire also consists of 7 sub-scales including networks, trust, collaboration, mutual understanding, relationships, values, and commitments10. Content validity was used to determine the reliability of the questionnaire. In addition, comments on the reform of professors were used in this area. In this research, Cronbach’s alpha coefficient was used for evaluation. The confidence coefficient of the questionnaire reliability was 85.0 and the reliability coefficient of the correlation coefficient of social cognitive capital was 89.0, the social capital correlation coefficient was 9.0 and the social capital structure was 8.011.

 

Statistical analysis

In addition to descriptive statistics, one-sample t-test and multivariate analysis were used to analyze the data. Before analysis, the data files were refined to ensure about the distribution of variables, the absence of overflow or endpoints and how to deal with unanswered data.

 

Ethics

The consent form was given to all people over 18 years old in Tehran province if they wished to enter the study. All information about children and their families was kept confidential. The National Institute for Medical Research Development (NIMAD) has ethically approved the study protocol (IR code: IR.NIMAD.REC.1395.001)

 

Results

The following results were obtained:

Of 2056 selected participants from Tehran province, 215 individuals did not answer to all variables so were removed from the data set.   In the next step,  the scores of all social capital components were converted to into Z scores, and with regard to this fact of 2.5Z for each variable, the single-variable pristine values were identified. The number of people with standard scores higher than 2.5 or less than 2.5 were as: 31 in the network variables, 24 in the relationship variable, 32 in the collaboration variable, 21 in the value e variable, 17 in the mutual comprehension variable, 29 in the trust variable, and 17 in the commitment variable. Investigating the form of the distribution index and the deviation from the normal, after removal of single-variable pristine values, showed that the inclination and elongation indices in all variables were not more than 0.5 or 0.5+.

The review of charts and tables shows that there are no distracting values in the distribution of data, however the relationship variable had 78 and the cooperative variable had 90 final values, which were excluded from the statistical analysis. Finally, 1956 data (data is the number of cases obtained from a total of 2056 subjects after removing defective items at each variables.) for network variables, 1885 data for relationship variables, 1865 data for collaborative variables, 1966 data for value variables, 1970 data for mutual understanding, 1958 data for trust variables, and 1970 data for commitment variables were included. In total, the number of data that remains for all variables at the same time was 1841.

In Tehran province from a total of 2065 participants, 1841 subjects remained in the study to be examined for all variables. In terms of demographic characteristics, the average age of women participating in the study was 38.5 and 43.5 years for men. According to the degree of education, the largest group belonged to people who completed their secondary education at school with a degree of diploma in both men and women groups with a prevalence of 44.2% and 36.8% respectively. The lowest prevalence was among illiterate participants (2.5% in the woman and 1.8% in the men).

In terms of job status, the most common occupational group in this study was housewives / unemployed women (82.3%) and men in labour job (3.9%). The lowest occupational groups among the women and men were university professor (0.3) and agriculture (0.4%) respectively faculties (Table 1).

The total number of participants in the province of Tehran, was 1841 and the total number of participants in other provinces of Iran was 27935.  The average level of social capital in province of Tehran is higher than the level of the other provinces (Table 2). For example, the average social capital of trust in the province of Tehran was 18.77 and in other provinces was 17.52 (in minimum and maximum range of 5-25) (p<0.001), (Table 3)

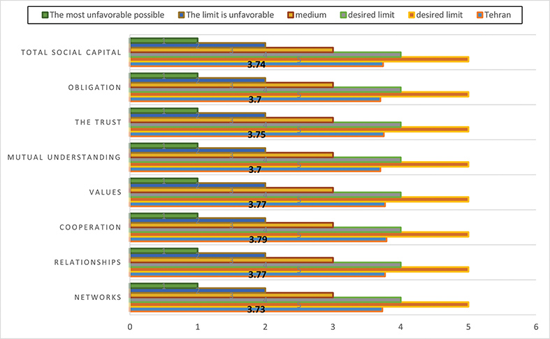
In diagram 1, the status of each of the components of social capital is represented in relation to each other, as well as to the optimal amount. For compatibility of the components, all of them are moderated in a scaling fashion from 1 to 5.This shows that Tehran province was higher than average in all components of social capital, but was still far from optimal.

Comparing social capital among status of people with mental or physical disorders (397 person) with people who did not have these problems (1399 person) in Tehran province )Table 4) and the results from multivariate analysis using statistical tests of Pylia (0.017), Lamboeda Wilkes (0.983), T Hoteling (0.017) and Maximum rooy root (0.017), F value (4.289) and degrees of freedom (error: 1788, hypothesis 7) showed that ,in total, there was a difference between the two groups in terms of the linear composition of social capital components with p

Table 5 compares two groups mentioned in each of the components of social capital. Based on the multivariate analysis of each of the variables, there is a significant difference between the two groups in the network variables, values, mutual understanding and trust. In all of these cases, those without a history of mental or physical disorders had higher scores. There does not depict a significant difference between the two groups in terms of collaboration and relationship.

 

Table 1. Demographic characteristics of the study groups (1841 persons)

Demographic variables

Women

N(P)/M(sdt)

Men

N(P)/M(sdt)

Age

38.5(6.4)

43.5(7.1)

Education

Illiterate

44(2.5)

32(1.8)

Elementary / Unemployed

No response

Total

152(8.6)

165(9.5)

Middle school and high school

245(13.8)

333(19.1)

Diploma

784(44.2)

643(36.8)

Bachelor

445(25.1)

400(22.9)

Bachelor and higher

105(5.9)

173(9.4)

 

No response

66

95

Job

Faculty member

5(0.3)

16(0.9)

Teacher

60(3.4)

24(1.4)

Employee

160(9)

500(28.5)

Retired

14(0.8)

74(4.2)

Tradesman

7(0.4)

58(3.3)

manual worker

69(3.9)

1042(59.3)

Housewife

0

7(0.4)

Housewife / Unemployed

1467(82.3)

36(2)

No response

59

84

 

Total

1841(100)

1841(100)

 

N: Number, P: Percent, M: Mean, Sdt: Standard Deviation

Table 2. Comparison of social capital status in Tehran province with other provinces of Iran

Tehran

N=1841

Other provinces of Iran

N=27935

T single-sample comparative test

df:1840

 

Mean

Standard deviation

Mean

T value

p value

 

14.92

2.27

13.89

19.566

<0.001

Networks

15.07

2.19

14.07

19.603

<0.001

Relations

15.15

2.17

14.22

18.352

<0.001

Collaboration

11.23

1.71

10.57

16.673

<0.001

Values

14.80

2.46

14.07

12.768

<0.001

Mutual understanding

18.77

2.88

17.52

18.630

<0.001

Trust

14.81

2.46

14.05

13.196

<0.001

Commitment

104.75

14.66

98.39

18.630

<0.001

Total Social Capital

 

Table 3. Minimum and maximum range of social capital components

 

Minimum

Maximum

Network

4.0

20.0

Relationship

4.0

20.0

Cooperative

4.0

20.0

Values

3.0

15.0

Mutual understanding

4.0

20.0

Trust

5.0

25.0

Commitment

4.0

20.0

 

Table 4. Status of social capital among people with mental disorders or physical illnesses compared with those who do not suffer these in Tehran province

No mental disorder or physical illness

N * = 1399

Have a mental disorder or physical illness

N=397

 

Mean

Standard deviation

Mean

Standard deviation

 

14.72

2.28

15.00

2.27

 Network                   

15.01

2.20

15.11

2.19

Relations      

15.06

2.17

15.20

2.16

Collaboration

11.02

1.83

11.31

1.66

Values           

14.49

2.63

14.94

2.39

Mutual understanding

18.51

3.01

18.89

2.82

Trust          

14.53

2.66

14.92

2.40

Commitment

 

Table 5. Comparison between persons with mental disorders or physical illnesses and people without these in Tehran province in relation with social capital

Total squared

Freedom degrees

Mean squares

F value

Significance level

 

24.541

1

24.541

4.759

0.029

Networks 

3.046

1

3.046

0.633

0.429

Relations

5.489

1

5.489

1.176

0.278

Collaboration

26.014

1

26.014

8.982

0.003

Values

62.584

1

62.584

10.477

0.001

Mutual understanding

43.823

1

43.823

5.338

0.021

Trust

 

 

 

Discussion

This study showed that the amount of social capital in the province of Tehran was higher than other provinces, and the social capital was lower among people with mental disorders or physical illnesses.

Shiani et al in 2015 evaluated the various dimensions of social capital among people over the age of 15 living in Tehran and examined five social capital aspects including associational relationship, norms and social trust, social bonding and interpersonal trust, social cohesion and social support.

They found that almost all dimensions of the social capital status was at an average level and the total score of its components was  at moderate level2.

Their study showed the difference between the various levels of social capital variables in Tehran while our study showed that the total amount of social capital and its various components were higher than the average and about three quarters of the highest possibility.

The differences that they reported between the above mentioned levels and the diversity in the levels that was measured in some of the variables in our study, while raising the difference between measuring instruments, can be due to the variability of social capital proportional to the different social and economic conditions that have arisen and whether this components are variable12.

Nedjat et al in 2012, investigated the relationship between socio-economic variables and social capital in Tehran stating that participants achieved more than 50 percent of the related scores to the variables of trust, collaboration, social cohesion and political action, while they only earned 18/9 percent of the scores related to the networks dimension. They emphasized that there would be a demand for designing effective interventions to improve the recent indicator13.

Our study showed an increase in the amount of score for the network variable by maximum 75% , which, in addition to increasing of the rate to the mentioned study13, is significantly higher than the average of other provinces in Iran (p<0.001).

A higher score for network dimensions can be regarded to an introduction to intergroup communication among Tehran residents because of their need to more social interaction for resolving interpersonal problems in the context of socioeconomic complexities.

Mehregan et al reviewed the status of social capital in different provinces of Iran during the years 2000-2009. They reported that among the provinces of Iran within a ten-year period, the province of Tehran had the lowest and South Khorasan Province had the highest average amount of social capital.

They found low social capital in Tehran for factors such as low per capita marriage, high per capita divorce rates, and the amount of reported crimes  which had an impact on the level of public trust and trust to people around them3.

From our estimation, the differences between social capital  scores could be caused by the re-establishment of inter-personal relations within recent years in Tehran. The formation of a large range of inter-group and intra-group relationships over the past few years in Tehran, in neighborhoods, residential and commercial complexes and markets, and the direct impact of these in formulation of social capital, are the causations that we suggest to be reasons14,15.

In 2011, Amini et al examined the relationship between social capital and social health in Iran. They compared the status of social capital in more advanced provinces, such as Tehran (in terms of complex Socio-economic processes), with other Iranian provinces.

They described the characteristics of social capital in less developed provinces in terms of inter-group communication and pointed out the lack of new concepts in the field of modern social capital based on intra- group communication along with generalized and public trust16.

In our study, the status of social capital in Tehran province is higher than other provinces of Iran. The formation of new social processes in the form of the expansion of intra-group aspect of social capital and the development of intra-ethnic communication can be the probable causation.

Vanneman et al examined the status of social capital in a number of Indian states and emphasized on the impact of subjective and individual variables on social capital. They suggested that the quantitative components of social capital to be highly dependent on the geographic patterns of the study population. They also reported improvements in the status of social networks in better economic conditions and higher levels of education17.

In our study, the difference between the amount of Tehran’s social capital and other provinces in Iran can be referred to the apparent difference between the underlying and different variables among Tehran’s multi-ethnic population in comparison with other provinces. This could also be due to the improvement of the status of social networks in Tehran caused by complex and different economic conditions and the higher education of the residents.

Marzuki et al in a similar study, examined the status of social capital in northern Malaysia and reported  a high level of social capital in some aspects such as the sense of trust and the modest level of social capital in other aspects such as the values of life4, however In our study, all social capital funds were at a moderate level.

Pronyk et al in a study on the possibility of impact of external interventions on the formulation of social capital, emphasized that higher social capital was effective in reduction of the major health problems and the consolidation of social and economic development. They designed a study in South Africa, where they  included employment through the formation of investor economic institutions and concluded that it  improved the general level of social and health education18.

we found a the wide range of complex economic processes and formation of various types of self-helped groups in the context of financial issues at different regions within recent years and in the spread of academic education and public awareness. According to our study, more than 30% of the population living in Tehran province had a bachelor degree or higher.

Kassani et al examined the effects of various factors such as age, gender, occupational status, and physical and mental health status on the components of social capital in Tehran. They stated that the physical dimensions of health in terms of its relation with quality of life could influence the concept of trust as an important part of social capital19.

We also identified a significant difference between the status of social capital among people with mental disorders or physical illnesses with those who did not suffer from the same conditions (p<0.0001) and the amount of social capital was higher among the group without the disorders.

In recent years, we have seen a relative increase in social capital in Tehran’s province compared to the past, as well as in comparison with other provinces of Iran, so that our results were contrary to the previous studies3

This could be due to the expansion of the formation of a new concept of social capital in Tehran province as the capital city, based on the expansion of  intra-group and intra-ethnic relations and the increase of social relations caused by complexities of the economic and social situations16.

We believe that the role of other social and economic factors  such as increasing level of education, higher employment  increasing social interactions20,21, and the changes in some socio-economic structures in other provinces of Iran, still requires further investigations.

Increasing awareness among policy makers and mental health program implementers about the changes that are being made to Iran’s social capital can be effective in improvement of current conditions and  mental health across Iran.

 

Conclusion

According to our results, social capital in Tehran is higher than the average of other provinces of Iran. This includes both total social capital and its components. Also, the province of Tehran in for all components of social capital is above the average level, although it is still far from optimal. We believe that there is a lower level of social capital among people with mental disorders or physical illnesses compared to those who are not suffering from the same disorders for components of networks, values, mutual understanding, trust and commitment.

 

Acknowledgments

We thank the National Institute for Medical Research Development (NIMAD) (Grant No. 940906) for the financial supports.

 

Conflict of Interest

There is no conflict of interest.

 

 

1. Hosseini S, Elmi Z, Sharepour M. Ranking Iran’s province centers according to social capital. Social Welfare 2007;7(26):59-84.
2. Shiani M, Mousavi M, Zare H. The measurement of social capital in Tehran. Iranian Economic Review 2017;21(2):431-47.
3. Mehregan N, daliri H, Shahnavaz S. An assessment of social capital trend in Iran provinces. J Economic Research Policies 2013;20(64):5-23.
4. Marzuki A, Ahmad N, Abdul hamid N, Shukri A, Mohd I. Community social capital in Malaysia: A pilot study. Asian Social Science 2014.
5. Elgar FJ, Davis CG, Wohl MJ, Trites SJ, Zelenski JM, Martin MS. Social capital, health and life satisfaction in 50 countries. Health Place 2011;17(5):1044-53. https://www.ncbi.nlm.nih.gov/pubmed/21784694
6. Cao J, Rammohan A. Social capital and healthy ageing in Indonesia. BMC Public Health 2016;16(1):631. https://www.ncbi.nlm.nih.gov/pmc/articles/PMC4957842/
7. Rothon C, Goodwin L, Stansfeld S. Family social support, community “social capital” and adolescents’ mental health and educational outcomes: a longitudinal study in England. Soc Psychiatry Psychiatr Epidemiol 2012;47(5):697-709. https://www.ncbi.nlm.nih.gov/pmc/articles/PMC3328685/
8. Shati M, Haghdoos AA, Majdzadeh R, Mohammad K, Mortazavi SS. Social network size estimation and determinants in tehran province residents. Iranian J Public Health 2014;43(8):1079. https://www.ncbi.nlm.nih.gov/pmc/articles/PMC4411904/
9. Mohammadi MR, Ahmadi N, Kamali K, Khaleghi A, Ahmadi A. Epidemiology of psychiatric disorders in Iranian children and adolescents (IRCAP) and its relationship with social capital, life style and parents’ personality disorders: study protocol. Iran J Psychiatry 2017 Jan;12(1):66-72. https://www.ncbi.nlm.nih.gov/pubmed/28496504
10. Mooghali A, Bahmanyari H, Daneshvar B, Masoumi R. The relationship between social capital and knowledge management among staff personnel of Shiraz University of Medical Sciences.  Interdisciplinary J Virtual Learning Medical Sciences (IJVLMS) 2015;6(2):40-51.
11. Abdollahi B, Farhadi R, Ahmadipanah M. Analysis of the impact of social capital and knowledge management on organizational Innovation (Kharazmi University Staff). World Scientific News 2015;11:18-31.
12. Narayan D, Cassidy MF. A dimensional approach to measuring social capital: development and validation of a social capital inventory. Current Sociology 2001;49(2):59-102.
13. Nedjat S, Majdzadeh R, Kheiltash A, Jamshidi E, Yazdan Sh. Social capital in association with socioeconomic variables in Iran. Social Indicators Res 2013;113(3):1153-70.
14. Saegert S, Winkel G, Swartz C. Social capital and crime in New York City’s low-income housing. Hous Policy
Debate 2002;13(1):189-226.
15. Foth M, Hearn G. Networked individualism of urban residents: Discovering the communicative ecology in inner-city apartment buildings. Inf Commun Soc 2007;10(5):749-72.
16. Amini Rarani M, Mousavi MT, Rafiey M. Correlation of social capital with social health in Iran. Social Welfare Quarterly 2011;11(42):203-28.
17. Vanneman R, Sonalde Desai, James Noon. Social capital in India: networks, organizations, and confidence. the Annual Meeting of the American Sociological Association. www.vanneman.umd.edu/papers/vannemannd06.pdf
18. Pronyk PM, Harpham T, Busza J, Phetla G, Morison LA, Hargreaves JR, et al. Can social capital be intentionally generated? A randomized trial from rural South Africa. Soc Sci Med 2008;67(10):1559-70. https://www.ncbi.nlm.nih.gov/pubmed/18771833
19. Kassani A, Gohari M, Mousavi M, Asadi Lari M, Rohani M, Shoja M. Determinants of social capital in Tehran residents using path analysis: urban HEART study. Iranian J Epidemiol 2012;8(2):1-12.
20. Shirzadi Babakan A, Alimohammadi A. An agent based simulation of residential location choice of tenants in Tehran, Iran. Transactions GIS 2016;20(1):101-25.
21. Babaei H, Ahmad N, Gill SS. Bonding, bridging and linking social capital and empowerment among squatter settlements in Tehran, Iran. World Applied Sciences J 2012;17(1):119-26.
Volume 2, Issue 3
Winter 2019
Pages 26-34

Descriptive state of social capital in Tehran province
Descriptive state of social capital in Tehran province